Ответы
Ответ дал:
1
Объяснение:
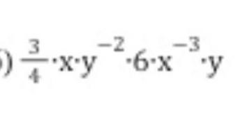
3/4*6*х^(1-3)у^(-2+1)=9/2*х^(-2)*у^(-1)
Ответ дал:
0
точное и подробное решение
Приложения:

Вас заинтересует
2 года назад
2 года назад
2 года назад
2 года назад
7 лет назад