• Предмет: Алгебра
  • Автор: Аноним
  • Вопрос задан 3 года назад

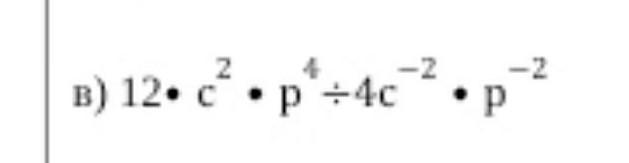
Помогите решить
очень нужно
спасибо большое​

Приложения:

Ответы

Ответ дал: NNNLLL54
0

12c^2p^4+4c^{-2}p^{-2}=12c^2p^4+\dfrac{4}{c^2p^2}=\dfrac{12c^4p^6+4}{c^2p^2}=4c^{-2}p^{-2}\cdot (3c^4p^6+1)

Вас заинтересует