• Предмет: Астрономия
  • Автор: Iazaebalaspridumavat
  • Вопрос задан 3 года назад

Юпитер находится в 5 раз дальше от Солнца, чем Земля. За какое время Юпитер совершает полный оборот вокруг Солнца?

Ответы

Ответ дал: Carnava1
2

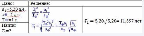
Ответ:

Юпитер  находится в среднем на 778 млн. км  от Солнца  совершает полный оборот вокруг Солнца за  11,86 земных лет

Объяснение :

778 млн. км  = (5,20 а. е.)

Приложения:
Вас заинтересует