• Предмет: Алгебра
  • Автор: adsasddasd
  • Вопрос задан 3 года назад

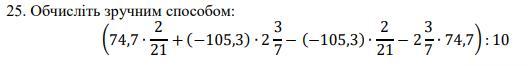
Обчисліть зручним способом СРОЧНО!!!!
75 баллов распишите решение с обьяснением

Приложения:

Ответы

Ответ дал: Dvoeshnik55
0

Ответ:

-25 317/700 как то так

Объяснение:

возможно ответ не правельный

Ответ дал: Аноним
0

((74.7+105.3)(2/21) -(2  3/7)(105.3+74.7))/10=((74.7+105.3)*(2/21- 17/7))/10=

18*(2/21-51/21)=-18*49/21=-18*7/3=-6*7=-42

Вас заинтересует