• Предмет: Алгебра
  • Автор: filinovaalyona357
  • Вопрос задан 3 года назад

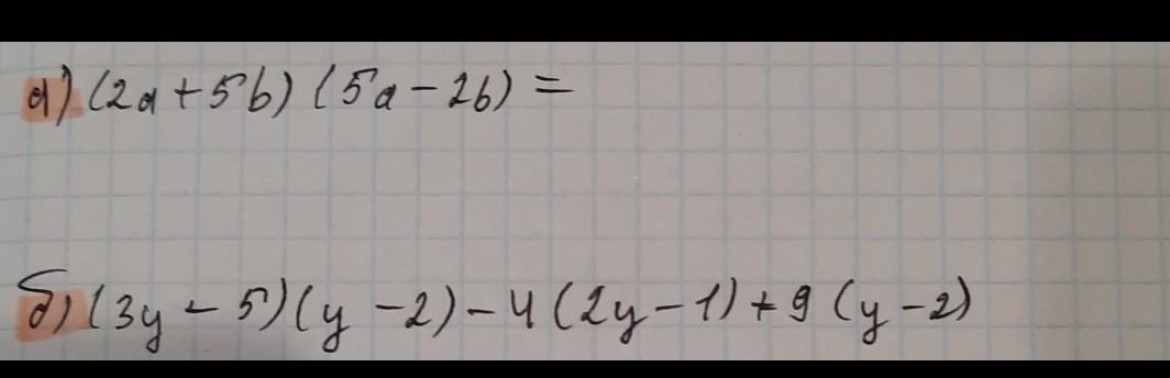
упростите и решите пожалуйста​

Приложения:

Ответы

Ответ дал: armkaro11
1

Ответ:

1)10a²+21ab-10b²

2) 3y²-10y-4

Объяснение:

1) (2a+5b)(5a-2b)= 10a²-4ab+25ab-10b²= 10a²+21ab-10b²

2(3y-5)(y-2)-4(2y-1)+9(y-2)=3y²-6y-5y+10-8y+4+9y-18= 3y²-10y-4

Вас заинтересует