• Предмет: Математика
  • Автор: mospananita
  • Вопрос задан 3 года назад

Помогите пожалуста ​

Приложения:

Ответы

Ответ дал: andrievskiy418
0

Ответ:

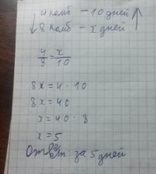
1 - ответ во вложениях

2 - 45×4=180 км расстояние

180:40=4,5 ч потребуется товарному поезду

3 - 90м=9000см

Sкуска=ab

Sкуска=9000см*60см=540000см

Теперь их этой площади ткани находим искомую длину:

540000:72=7500см=75м

Ответ:75 метров ткани

Пошаговое объяснение:

Приложения:
Вас заинтересует