• Предмет: Геометрия
  • Автор: Аноним
  • Вопрос задан 3 года назад

ПОЖАЛУЙСТА ПОМОГИТЕ !!!! Я УЖЕ НЕ ЗНАЮ КТО МОЖЕТ ПОМОЧЬ, ПРОШУУУ

Приложения:

Ответы

Ответ дал: bodunova94
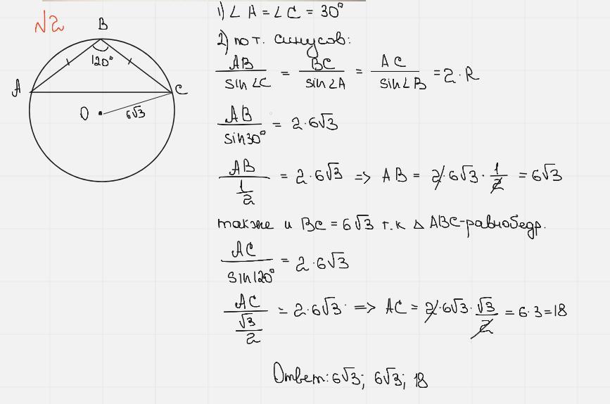
1

Ответ:

Решение 2,3,4 задачи

Объяснение:

1-я что-то не получилась.

Приложения:

Аноним: БЛАГОДАРЮ !!!!!!!
Вас заинтересует