• Предмет: Математика
  • Автор: dashayarem42
  • Вопрос задан 3 года назад

Сделайте пожалуйста систему, пожалуйста, очень срочно. Сделайте у тетради и сфоткайте❤️​

Приложения:

Ответы

Ответ дал: mic61
1

Ответ:

x₁= 0; y₁= 10;

x₂= 0; y₂= -10;

x₃= 8; y₃= 6;

x₄= -8; y₄= 6

Пошаговое объяснение:

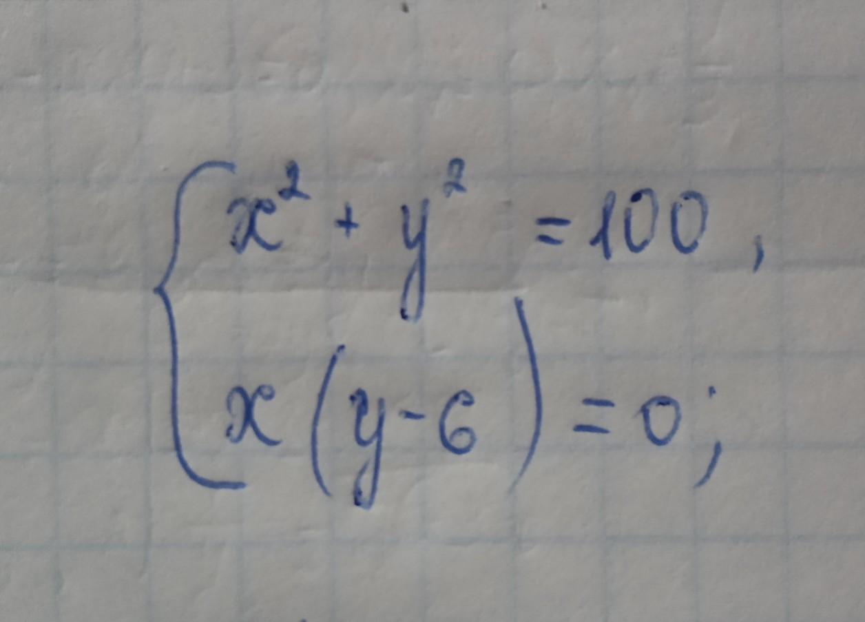
x²+y²=100;

x(y-6)=0;

Тут все просто: посмотрим на второе уравнение:

x(y-6)=0;

x=0;

y-6=0; y=6;

Подставляем поочередно полученные x и y в первое уравнение:

x²+y²=100;

x=0; 0²+y²=100; y=±10;

y=6; x²+6²=100; x²=100-6²; x²=64; x=±8;

x= 0; y= 10;

x= 0; y= -10;

x= 8; y= 6;

x= -8; y= 6


dashayarem42: большое спасибо ❤️
Вас заинтересует