• Предмет: Математика
  • Автор: asim02022003
  • Вопрос задан 3 года назад

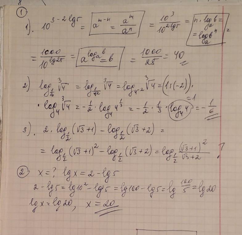
Логарифмы решить, даю максимум баллов!!

Приложения:

Ответы

Ответ дал: kirichekov
2

Пошаговое объяснение:

решение во вложении (в квадратных скобках формулы, не писать)..

Приложения:
Вас заинтересует