• Предмет: Алгебра
  • Автор: cooooot
  • Вопрос задан 3 года назад

помогите пожалуйста​

Приложения:

Ответы

Ответ дал: palilov243659
1

Ответ:

Объяснение:

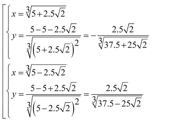
во вложении  

Приложения:
Вас заинтересует