• Предмет: Алгебра
  • Автор: nikitkaaleshin97
  • Вопрос задан 3 года назад

Найти пределы помогите пожалуйста

Приложения:

Ответы

Ответ дал: Аноним
0

Ответ:

1

-\frac{3}{2}

Объяснение:

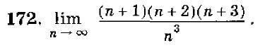
\displaystyle\lim_{n \to \infty} \frac{(n+1)(n+2)(n+3)}{n^3} = \lim_{n \to \infty} \frac{n^3+6n^2+11n+6}{n^3} =\lim_{n \to \infty} \frac{\frac{1}{n^3} (n^3+6n^2+11n+6)}{\frac{1}{n^3} n^3}=\lim_{n \to \infty} \frac{1}{n^3} (n^3+6n^2+11n+6)=\lim_{n \to \infty} 1+6\frac{1}{n} +11\frac{1}{n^2} +6\frac{1}{n^3}=1

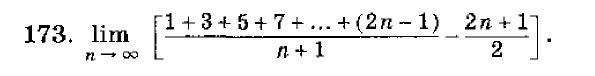
Так как 1 + 3 + 5 + 7 + ... + (2n - 1) = \displaystyle \frac{(1+2n-1)n}{2}=\frac{2n^2}2=n^2, то предел имеет вид

\displaystyle\lim_{n \to \infty} \frac{n^2}{n+1} -\frac{2n+1}{2}  = \lim_{n \to \infty}\frac{2n^2-2n^2-2n-n-1}{2(n+1)} = -н\lim_{n \to \infty} \frac{3n+1}{n+-1}=-н\lim_{n \to \infty} \frac{3+\frac1n}{1+\frac1n}=-н\left[\frac{3+0}{1+0}\right]=-н*3=-\frac32

Ответ дал: mionkaf1
0

\displaystyle\\1)  \lim_{n \to \infty} \frac{(n+1)(n+2)(n+3)}{n^3}= \lim_{n \to \infty} \frac{(n^2+3n+2)(n+3)}{n^3}=\\\\\\= \lim_{n \to \infty} \frac{n^3+3n^2+3n^2+9n+2n+6}{n^3}= \lim_{n \to \infty} \frac{n^3+6n^2+11n+6}{n^3}=\\\\\\= \lim_{n \to \infty} \frac{\dfrac{n^3}{n^3}+\dfrac{6n^2}{n^3}+\dfrac{11n}{n^3}+\dfrac{6}{n^3}    }{\dfrac{n^3}{n^3} }= \lim_{n \to \infty} 1+\dfrac{6}{n}+\dfrac{11}{n^2}+\dfrac{6}{n^3}}=1

\displaystyle\\2) \lim_{n \to \infty}\bigg[ \frac{1+3+5+7+...+(2n-1)}{n+1}-\frac{2n+1}{2}\bigg]=\\\\\\= \lim_{n \to \infty} \bigg[\frac{1}{n+1}\cdot \frac{(1+(2n-1))n}{2}-\frac{2n+1}{2}    \bigg]= \lim_{n \to \infty} \bigg[\frac{1}{n+1}\cdot\frac{2n^2}{2}-\frac{2n+1}{2} \bigg] =\\\\\\= \lim_{n \to \infty} \bigg(\frac{2n^2}{2(n+1)}-\frac{(2n+1)(n+1)}{2(n+1)}   \bigg)= \lim_{n \to \infty} \frac{2n^2-2n^2-2n-n-1}{2(n+1)}=\\\\\\

\displaystyle\\=\lim_{n \to \infty} \frac{-3n-1}{2n+2}=  \lim_{n \to \infty} \frac{-\dfrac{3n}{n}-\dfrac{1}{n}  }{\dfrac{2n}{n}+\dfrac{2}{n}  } = \lim_{n \to \infty} \frac{-3-\dfrac{1}{n} }{2+\dfrac{2}{n} } =\frac{-3-0}{2+0}=-\frac{3}{2}

Вас заинтересует