Ответы
Ответ дал:
1
Ответ:
Объяснение:
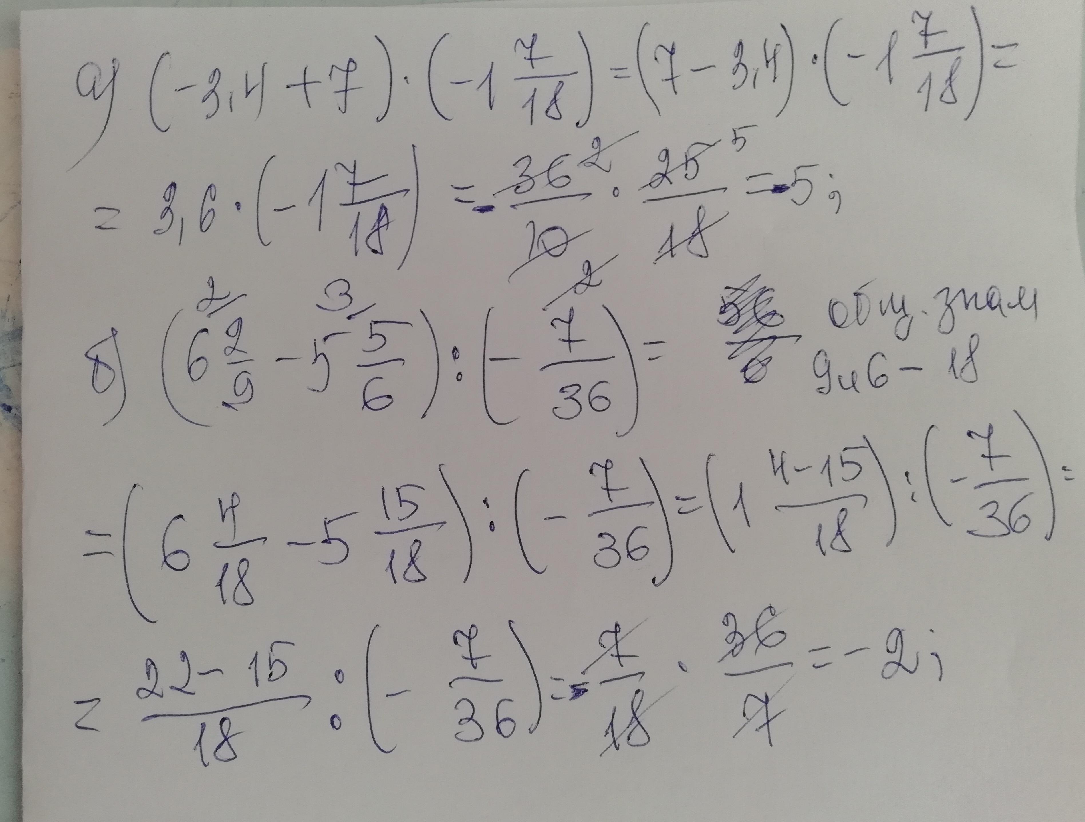
Решения и ответы в приложениях... :)) Удачи
Приложения:



Вас заинтересует
2 года назад
2 года назад
2 года назад
2 года назад
7 лет назад
7 лет назад