• Предмет: Алгебра
  • Автор: nikita2006smertev
  • Вопрос задан 3 года назад

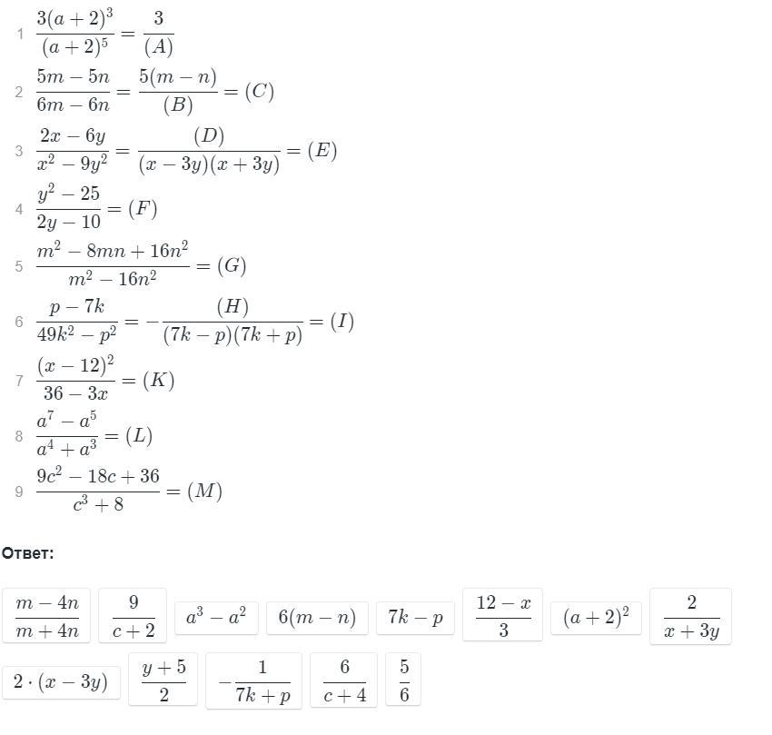
Замени заглавные буквы на нужное значение

Приложения:

Ответы

Ответ дал: dtnth
1

Ответ:

1. A=(a+2)^2

2.B=6(m-n); C=\frac{5}{6}

3.D=2(x-3y);E=\frac{2}{x+3y}

4.F=\frac{y+5}{2}

5.G=\frac{m-4n}{m+4n}

6.H=7k-p; I=-\frac{1}{7k+p}

7.K=\frac{12-x}{3}

8.L=a^3-a^2

9.M=\frac{9}{c+2}

Объяснение:

1. \frac{3(a+2)^3}{(a+2)^5}=\frac{3}{(a+2)^2}

A=(a+2)^2

2. \frac{5m-5n}{6m-6n}=\frac{5(m-n}{6(m-n)}=\frac{5}{6}

B=6(m-n); C=\frac{5}{6}

3.\frac{2x-6y}{x^2-9y^2}=\frac{2*x-2*3y}{x^2-(3y)^2}=

\frac{2(x-3y)}{(x+3y)(x-3y}=\frac{2}{x+3y}

D=2(x-3y);E=\frac{2}{x+3y}

4.\frac{y^2-25}{2y-10}=\frac{y^2-5^2}{2*y-2*5}=

\frac{(y-5)(y+5)}{2(y-5)}=\frac{y+5}{2}

F=\frac{y+5}{2}

5.\frac{m^2-8mn+16n^2}{m^2-16n^2}=

\frac{m^2-2*m*(4n)+(4n)^2}{m^2-(4n)^2}=

\frac{(m-4n)^2}{(m+4n)(m-4n)}=\frac{m-4n}{m+4n}

G=\frac{m-4n}{m+4n}

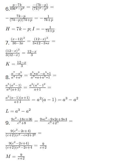
6.\frac{p-7k}{49k^2-p^2}=\frac{-(7k-p)}{(7k)^2-p^2}=

-\frac{7k-p}{(7k-p)(7k+p}=-\frac{1}{7k+p}

H=7k-p; I=-\frac{1}{7k+p}

7. \frac{(x-12)^2}{36-3x}=\frac{(12-x)^2}{3*12-3*x}=

\frac{(12-x)^2}{3(12-x)}=\frac{12-x}{3}

K=\frac{12-x}{3}

8. \frac{a^7-a^5}{a^4+a^3}=\frac{a^5*a^2-a^5*1}{a^3*a+a^3*1}=

\frac{a^5(a^2-1)}{a^3(a+1)}=\frac{a^2(a^2-1^2}{a+1}=

\frac{a^2(a-1)(a+1)}{a+1}=a^2(a-1)=a^3-a^2

L=a^3-a^2

9. \frac{9c^2-18c+36}{c^3+8}=\frac{9*c^2-9*2c+9*4}{c^3+2^3}=

\frac{9(c^2-2c+4)}{(c+2)(c^2-c*2+2^2}=

\frac{9(c^2-2c+4)}{(c+2)(c^2-2c+4}=\frac{9}{c+2}

M=\frac{9}{c+2}

Приложения:
Вас заинтересует