• Предмет: Математика
  • Автор: aqwweds
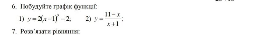
  • Вопрос задан 3 года назад

помогите пожалуйста, нужно подробное объяснение
8-9 класс​

Приложения:

Ответы

Ответ дал: mereykatop
0

ОДЗ это область допустимых значений

применяется в функциях, где мы видим дробную черту

P.S. в первом уравнении поменяли знак, из за того что перенесли его на другую часть

Приложения:

aqwweds: но здесь же решается совсем не так. здесь нужно просто построить график
mereykatop: ааа график, сейчас будет, я просто не увидела
Вас заинтересует