• Предмет: Алгебра
  • Автор: babaclava
  • Вопрос задан 3 года назад

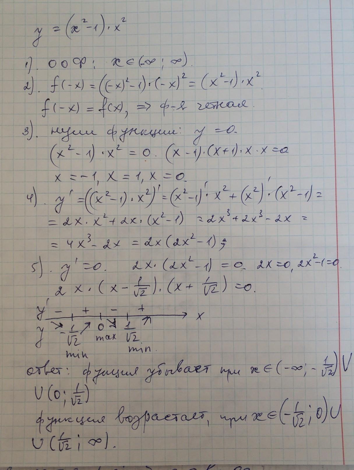
найдите промежутки монотонности функции
y=(x^{2} -1)x^{2}

Ответы

Ответ дал: kirichekov
0

Объяснение:

решение во вложении. ..

Приложения:
Вас заинтересует