• Предмет: Алгебра
  • Автор: bobstrong147
  • Вопрос задан 3 года назад

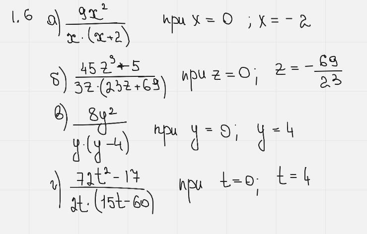
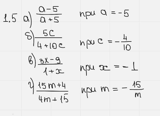
Установите, при каких значениях переменной не имеет смысла алгебраическая дробь​

Приложения:

Ответы

Ответ дал: bodunova94
1

Ответ:

во вложении

Объяснение:

Алгебраическая дробь не имеет смысла, тогда, когда в знаменателе находится 0,т.к на ноль делить нельзя.

В решении возле каждого примеры написаны значения, которые в знаменателе дают ноль

Приложения:
Вас заинтересует