• Предмет: Алгебра
  • Автор: liliahorosha
  • Вопрос задан 3 года назад

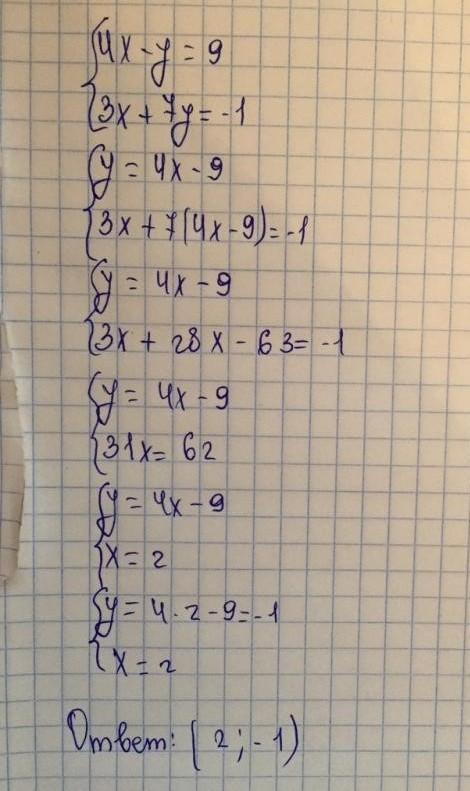
2x+9y=-1
7x+36y=-8
Розв'яжіть систему лінійних рівнянь способом додавання

Ответы

Ответ дал: elenazlat2363
1

Объяснение:

Ответ:.................

Приложения:
Вас заинтересует