• Предмет: Алгебра
  • Автор: serebryanskaya28nast
  • Вопрос задан 3 года назад

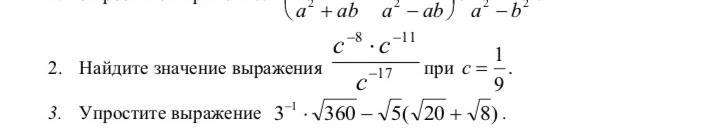
Помогите пожалуйста срочно нужно это сделать номер 3

Приложения:

Ответы

Ответ дал: dashahajyewa
0

Ответ:

√40-10-2√10=-10........

Приложения:

serebryanskaya28nast: Это правильный ответ?
serebryanskaya28nast: ответ -10?
serebryanskaya28nast: Или как я не поняла?
dashahajyewa: да это ответ хочешь я напишу тебе все решение?
serebryanskaya28nast: Да, хочу
Вас заинтересует