Ответы
Ответ дал:
0
Ответ:
Объяснение:
Подробно в файле, удачи
Приложения:

Ответ дал:
1
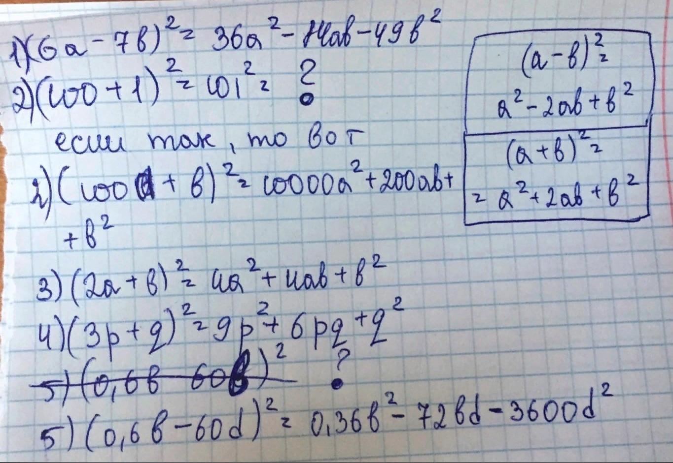
(6a-7b)^2=(6a)^2-2*6a*7b+(7b)^2=36a^2-84ab+49b^2
(100+1)^2=(100)^2+2*100*1+(1)^2=10000+200+1
(2a+b)^2=(2a)^2+2*2ab+(b)^2=4a^2+4ab+b^2
(3p+q)^2=(3p)^2+2*3pq+(q)^2=9p^2+6pq+q^2
(0,6b-60b)^2=(0,6b)^2-2*0,6b*60b+(60b)^2=36b^2-720b^2+360b^2
(100+1)^2=(100)^2+2*100*1+(1)^2=10000+200+1
(2a+b)^2=(2a)^2+2*2ab+(b)^2=4a^2+4ab+b^2
(3p+q)^2=(3p)^2+2*3pq+(q)^2=9p^2+6pq+q^2
(0,6b-60b)^2=(0,6b)^2-2*0,6b*60b+(60b)^2=36b^2-720b^2+360b^2
SofyaRyabova:
Не 360b^2,а 3600b^2
Вас заинтересует
2 года назад
2 года назад
7 лет назад
9 лет назад