• Предмет: Математика
  • Автор: 1balauylia1
  • Вопрос задан 3 года назад

СРОЧНО ДАЮ 20 БАЛОВ​

Приложения:

Ответы

Ответ дал: Popopopopopopopopo1
0

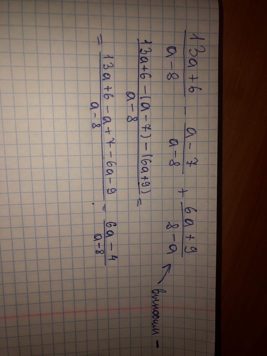
Ответ:

Пошаговое объяснение:

00000000000000000000000000000000

Приложения:
Вас заинтересует