• Предмет: Алгебра
  • Автор: natali80kh
  • Вопрос задан 3 года назад

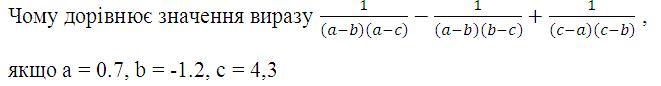
100 балів, алгебра, допоможіть будь ласка (терміново)

Приложения:

Ответы

Ответ дал: leutskaaula
2

Ответ:

0

лрсшрянкбмшраж

Вас заинтересует