• Предмет: Математика
  • Автор: demko9000
  • Вопрос задан 3 года назад

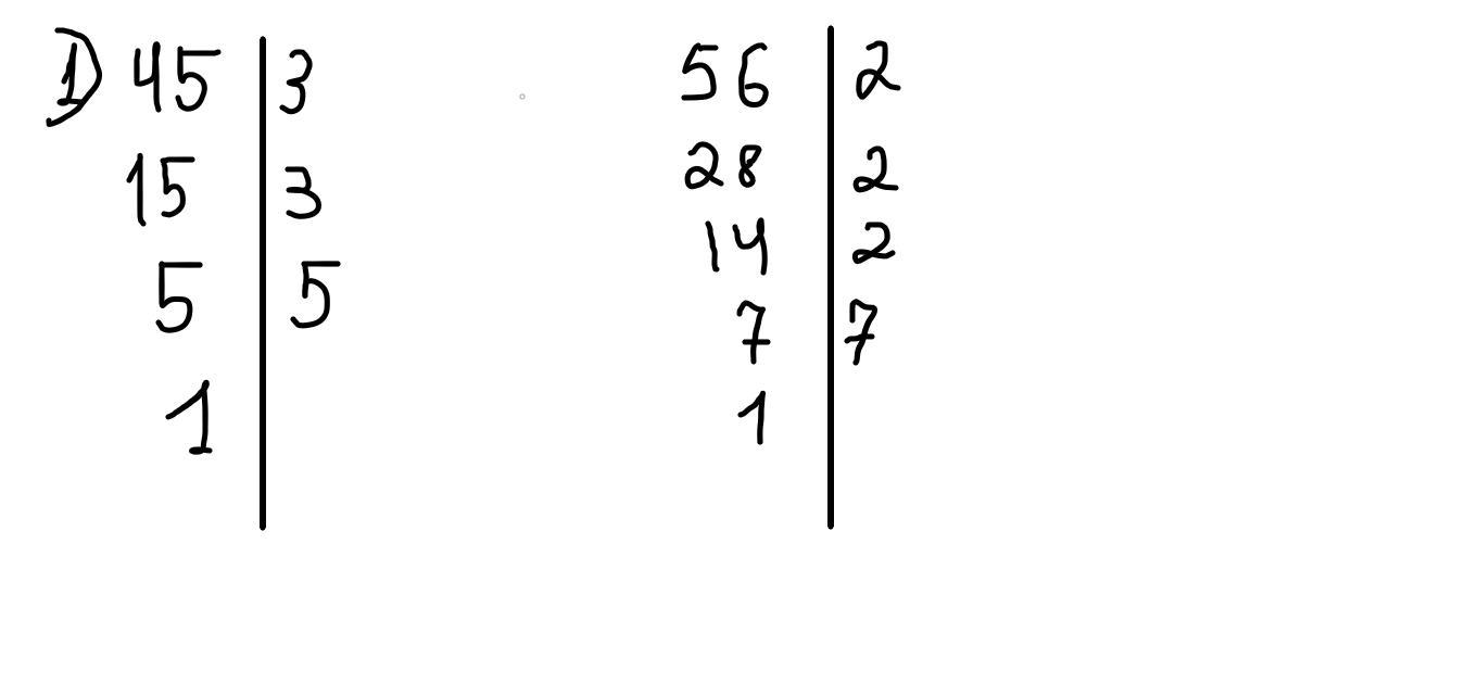
Найдите наибольший общий делитель чисел 1) 45и56. 2) 12,18и24

Приложения:

Ответы

Ответ дал: тича
1

1) НОД = 1

2) НОД = 2*3 =6

Приложения:

demko9000: Спасибо
Вас заинтересует