Ответы
Ответ дал:
1
Ответ:
Внизу.
Объяснение:
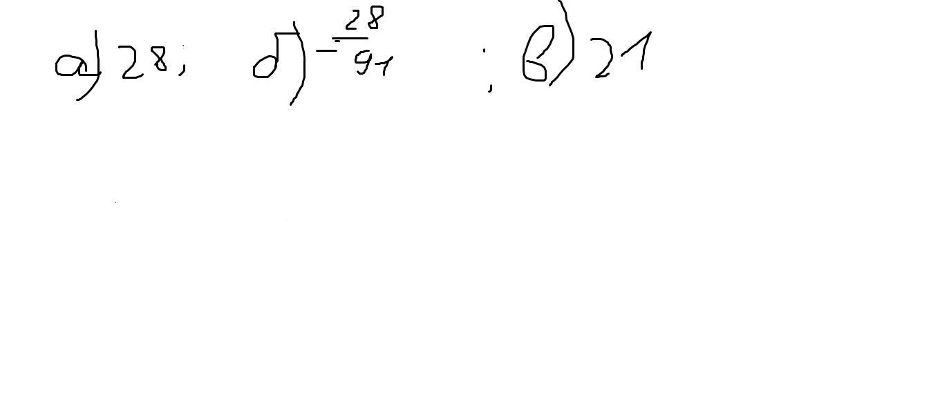
а) Сначала делим -8 на -2.Минус на минус равно +.Выходит 4.32-4=28
б) 5/7 умножаем на -4/13.Выходит -20/91. Дальше умножаем 2/7 на -4/13.И полученные результаты складываем.
в) 1/2 приведем к общему знаменателю,то есть к 10.Множим на 5.
8/10-5/10=3/10.Выходит 6 целых 3/10.Когда делим на что-то,знак переворачиваем.6 целых 3/10=63/10 * 10/3.
Остается 63/3=21.
Приложения:

Вас заинтересует
2 года назад
2 года назад
2 года назад
7 лет назад
9 лет назад
9 лет назад