• Предмет: Математика
  • Автор: srtussonja145
  • Вопрос задан 3 года назад

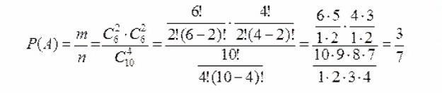
Група туристів, у якій 6 юнаків і 4 дівчини, вибирає за жеребом чотирьох чергових. Яка ймовірність того, що буде
вибрано 2 юнаки і 2 дівчини?​

Ответы

Ответ дал: kravchykoleksandra2
2

Ответ:

Число результатів (елементарних подій) під час вибирання чотирьох

чергових із 10 туристів дорівнює . Усі ці події є рівноможливі і попарно несумісні.

Нехай подія А полягає в тому, що серед чотирьох чергових є два юнаки і дві дівчини. Вибрати двох юнаків із шести можна способами, а вибрати двох дівчат із чотирьох можна способами. За правилом добутку вибір і двох юнаків, і двох дівчат можна виконати способами – це і кількість подій для події А. Тоді, за формулою класичної ймовірності. Маємо

Приложения:
Вас заинтересует