• Предмет: Математика
  • Автор: hamzatdzana2237
  • Вопрос задан 3 года назад

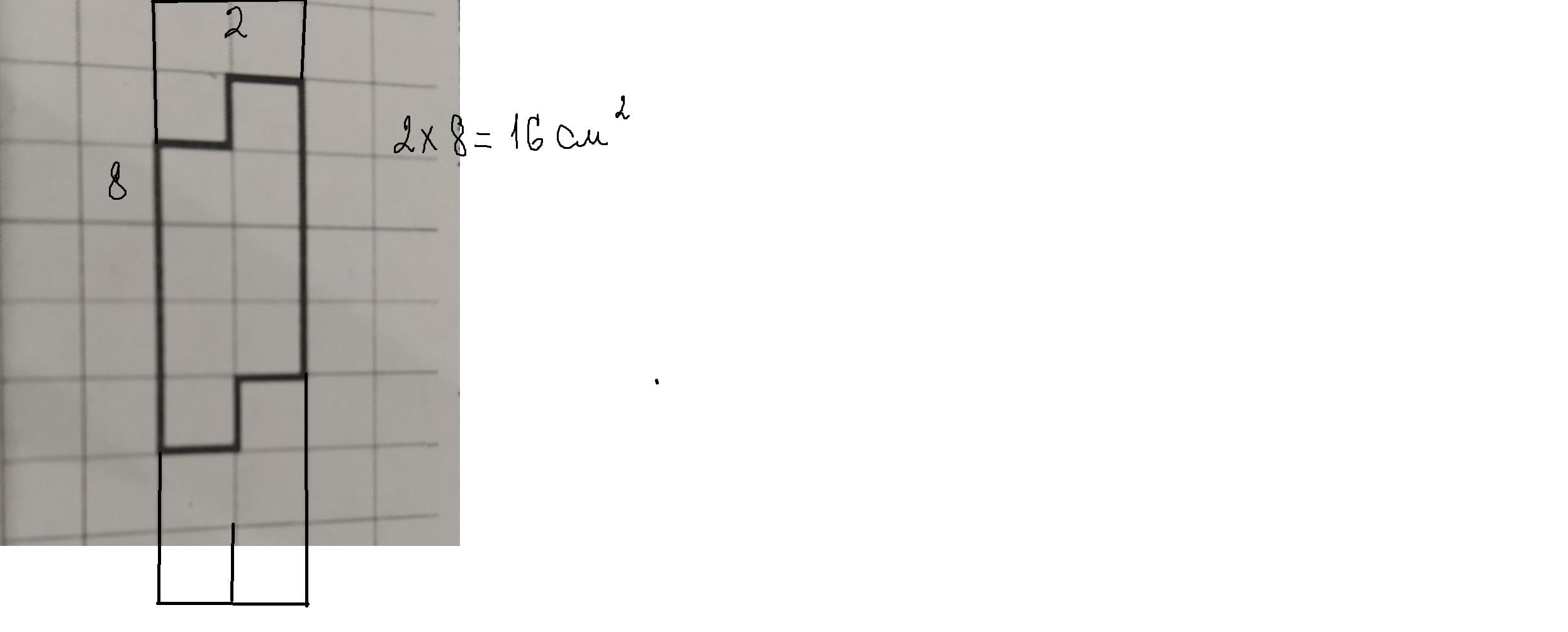
На клетчатом поле со стороной клетки 1 см изображена фигура. Изобрази на рисунке прямоугольник площадью 16 см2 так чтобы вся данная фигура была внутри

Приложения:

Аноним: 2×8

Ответы

Ответ дал: parus77
0

Ответ:

Пошаговое объяснение:

рисунок внизу

Приложения:
Вас заинтересует