• Предмет: Алгебра
  • Автор: ympalumpa01
  • Вопрос задан 3 года назад

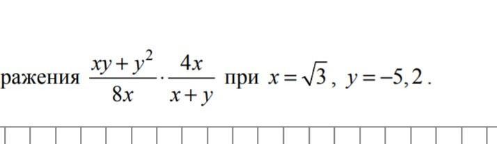
пожалуйста, помогите решить ​

Приложения:

Ответы

Ответ дал: Universalka
0

\frac{xy+y^{2}}{8x}*\frac{4x}{x+y}=\frac{y(x+y)}{8x}*\frac{4x}{x+y}=\frac{y}{2}\\\\y=-5,2\Rightarrow \frac{-5,2}{2}=-2,6

Вас заинтересует