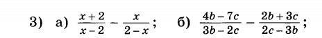
Помогите пожалуйста
Напишите полный ответ на листочке, если не сложно. Спасибо большое!!
Приложения:

Ответы
Ответ дал:
1
Ответ:нужно -1 вычесть общ.
Объяснение:
Приложения:

Вас заинтересует
2 года назад
2 года назад
2 года назад
2 года назад
7 лет назад
9 лет назад