• Предмет: Математика
  • Автор: sofiyakoroleva
  • Вопрос задан 3 года назад

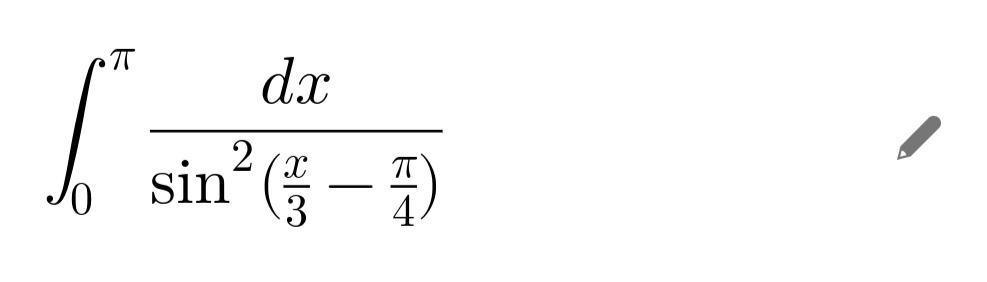
Вычистите неопределенный интеграл методом замены:

Приложения:

sofiyakoroleva: Не знаю в калькуляторах какой-то замудрённый ответ получается вовсе...
FlatEarth: Да, действительно он там не самым рациональным способом считает, даже удивительно
FlatEarth: Табличный интеграл так считать это смешно конечно
sofiyakoroleva: Вот да :(
FlatEarth: -3*(сtg(pi/3-pi/4) - ctg(-pi/4)) = -3*( (ctg(pi/3)*ctg(pi/4)+1)/(ctg(pi/3)-ctg(pi/4)) +1) = -3*( (sqrt(3)/3 +1)/( sqrt(3)/3-1) +1) = -3*( (sqrt(3)+3)/(sqrt(3)-3) +1) =
-3*( (sqrt(3)+3)^2/(-6) +1) = (sqrt(3)+3)^2/2 -3 = (12+6sqrt(3))/2 -3 = 6+3sqrt(3)-3 = 3+3sqrt(3) = 3*(1+sqrt(3)).
FlatEarth: Ну считать и вправду громоздко
FlatEarth: Формула котангенс разности двух аргументов
FlatEarth: Ответ получается более менее : 3*(1+sqrt(3))
FlatEarth: ctg(a-b) = (ctg(a)*ctg(b) +1)/(ctg(a)-ctg(b)) - вот такая формула
sofiyakoroleva: О, да ответ этот более ли менее, спасибочки!

Ответы

Ответ дал: Аноним
1

Ответ:

3\sqrt3-3

Пошаговое объяснение:

\displaystyle t =\frac\pi4  -\frac13x\\dt=-\frac13dx\\\int {\frac1{\sin^2( \frac13x-\frac\pi4)}} \, dx =\int {\csc^2( \frac\pi4  -\frac13x)}} \, dx=-3\int {\csc^2t} \, dt =\\-3\tan t=\bf-3\tan (\frac13x-\frac\pi4)+const

Определённый - f(\pi)-f(0)

\displaystyle f(\pi)=-3*\tan(\frac\pi3-\frac\pi4)=-3*\frac{\tan\frac\pi3+\tan\frac\pi4}{1-\tan\frac\pi3\tan\frac\pi4} =-3(2-\sqrt3)=3\sqrt3-6

\displaystyle f(0)=-3\tan(-\frac\pi4)=3

f(\pi)-f(0)=3\sqrt3-6-3=3\sqrt3-3


sofiyakoroleva: Спасибо большое! Я везде, где можно Вас похвалила. А можете посмотреть мой предпоследний вопрос? Он подобный, не могу справиться :(
sofiyakoroleva: А что значит csc &
Аноним: csc - косеканс, csc x = 1/sin x
sofiyakoroleva: Спасибо, а вот если подставлять П и 0, то получится 3+ sqrt3 или sqrt3 -3 , просто я считала, у меня вышло с минусом, а на калькуляторе с плюсом..
FlatEarth: Там не tg, а сtg
FlatEarth: Исправляйте
FlatEarth: Ответ: 3*(1+sqrt(3))
FlatEarth: *-3(1+sqrt(3))
FlatEarth: Ответ то неверный, а отметили как лучший
Ответ дал: FlatEarth
1

Ответ: -3(1+\sqrt{3} )

Пошаговое объяснение:

\int\limits^\pi _0  {\frac{1}{sin^2(\frac{x}{3} -\frac{\pi }{4}) } } \, dx= |\frac{x}{3} -\frac{\pi }{4}=t ;dx=3dt| = \int\limits^\frac{\pi }{12}  _\frac{-\pi }{4}  {\frac{3}{sin^2(t) } } \, dt=-3ctg(t) }|\limits^\frac{\pi }{12}  _\frac{-\pi }{4} =\\=-3ctg(\frac{\pi }{12}  )-3ctg(-\frac{\pi }{4})  =-3ctg(\frac{\pi }{12} )+3= -3ctg(\frac{\frac{\pi }{6}}{2} )+3 =\\= -3*(\frac{1+cos(\frac{\pi }{6} )}{sin(\frac{\pi }{6}) } )+3 =-6(1+\frac{\sqrt{3} }{2} ) +3 = -3(1+\sqrt{3} )

Вас заинтересует