• Предмет: Алгебра
  • Автор: nikitazombi228vasile
  • Вопрос задан 3 года назад

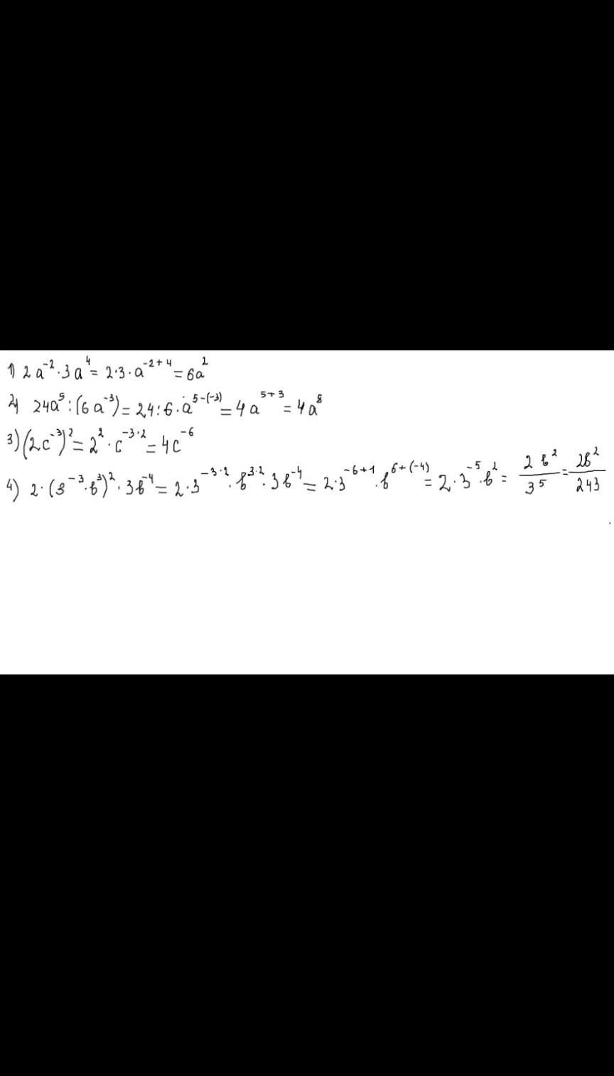
1) 2a-²×3a⁴
2)24a⁵÷(6a-³)
3)(2c-³)²
4)2(3-³b³)²3b-4

Ответы

Ответ дал: turgalizanel
11

Объяснение:

Ответ 2в^2/3^5=2в^2/24^3

Приложения:
Вас заинтересует