• Предмет: Алгебра
  • Автор: ahmadamiri905
  • Вопрос задан 3 года назад

Вычисте а) 2√16+√36.б)0,2√4900.в)√9/16.г)100√0,04-√289. помогите пожалуйста ​

Приложения:

Ответы

Ответ дал: manyny06
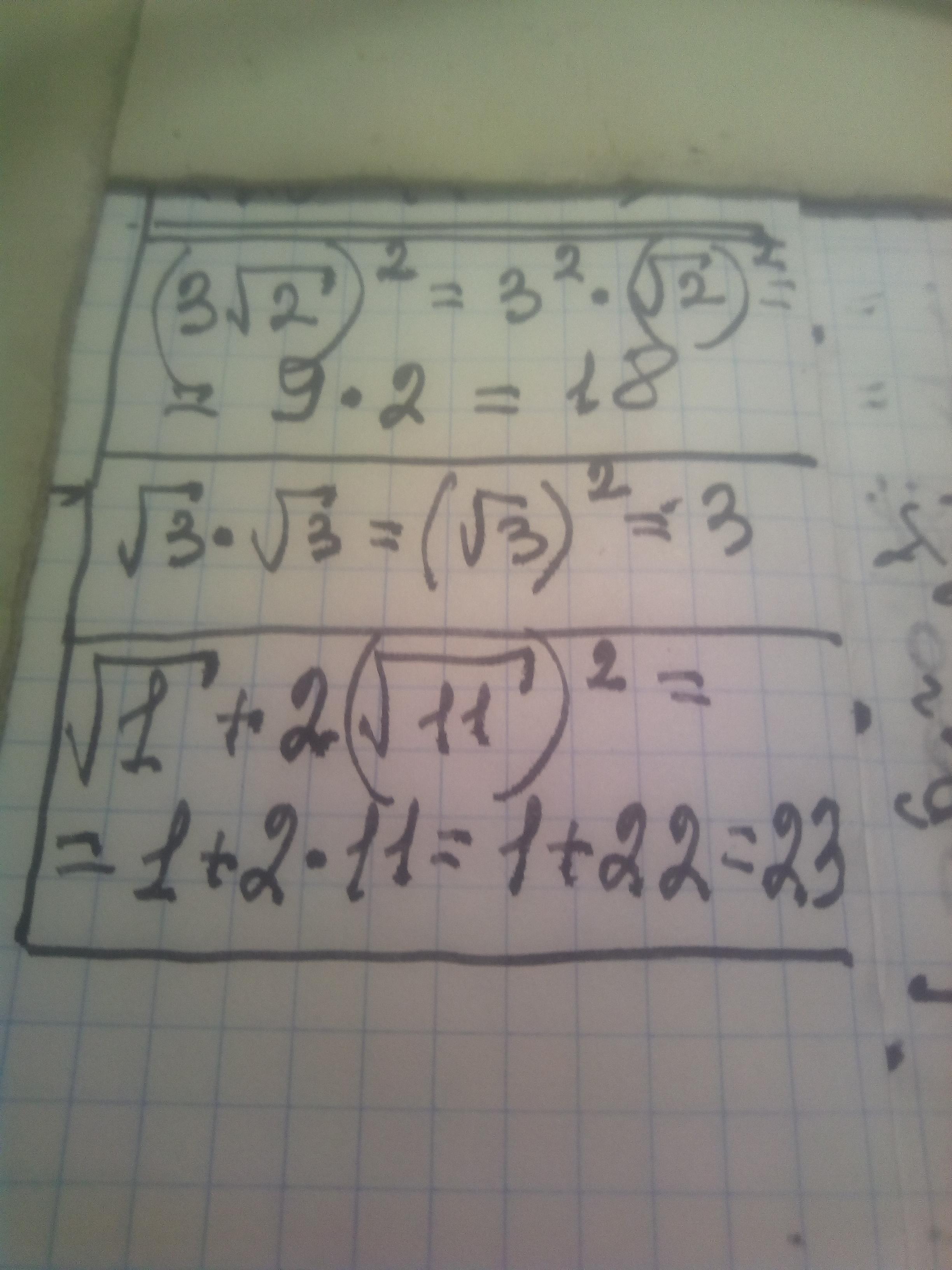
1

Ответ:

решение смотри на фотографии

Объяснение:

Приложения:

ahmadamiri905: спасибо большое
Ответ дал: Geographist
1

Ответ:

Объяснение:фото

Приложения:

ahmadamiri905: спасибо большое
Geographist: удачи)
ahmadamiri905: спа
Вас заинтересует