СРОЧНО РЕШИТЕ ЛЮБЫЕ 5 ПРИМЕРОВ!!!!!! только пожалуйся с детальным решением и желательно объяснениями
Приложения:

Geographist:
ага... 5 интегралов за 7 баллов.. На студенческих сайтах за такие задания платят деньги
Ответы
Ответ дал:
0
Ответ:
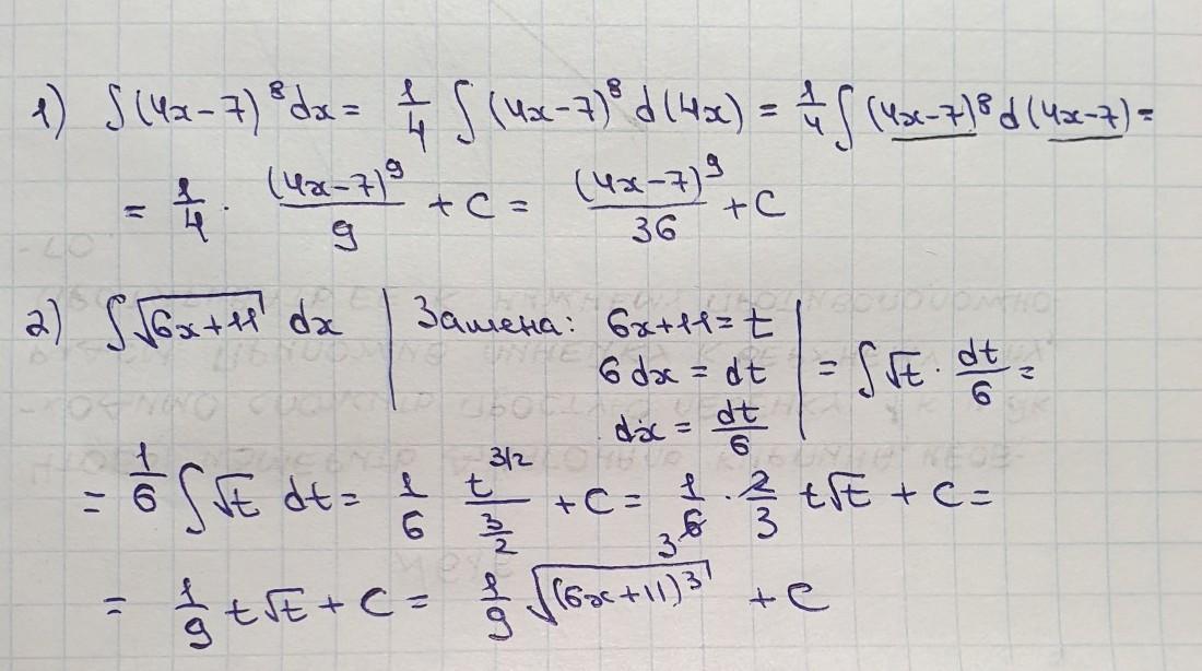
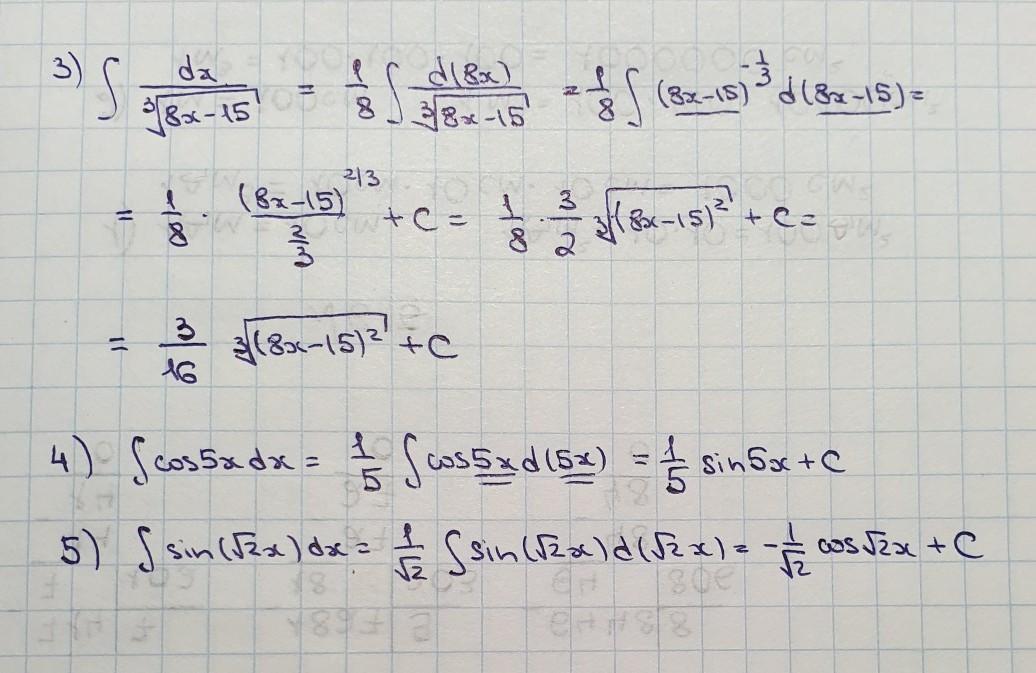
в первом в dx x преобразуем в (4х-7) для того, чтобы проинтегрировать это выражение как одну переменную (интеграл а = а^2/2) Для этого добавляем 1=1/4*4, и 4 сразу заносим под знак дифференциала (dx), и получается 1/4 остаётся за интегралом. Const (любое число) мы можем добавить "просто так", так как производная любого числа равно 0, и ничего не поменяется. и Дальше интегрируем выражение как единую переменную. Похожая ситуация в 3)
Во 2 делаем замену, в 4 и 5 также просто наносим под знак дифференциала число, чтобы можно было проинтегрировать.
Приложения:


Вас заинтересует
2 года назад
2 года назад
2 года назад
7 лет назад
7 лет назад
9 лет назад