• Предмет: Алгебра
  • Автор: farhatdvumat
  • Вопрос задан 3 года назад

Срочноо!!!помогите с объяснением!!!!пожалуйста!!!!!!Срочнооо!!!!​

Приложения:

Ответы

Ответ дал: alyyva
0

Если есть вопросы, спрашивайте

Удачи :)

Приложения:
Ответ дал: xklmxklmc
2

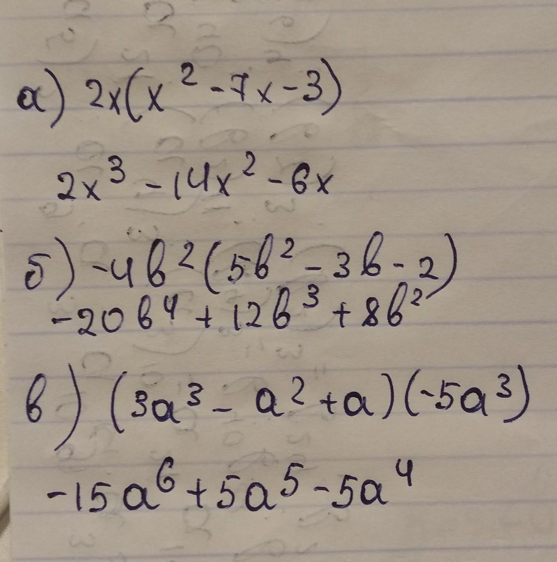
Ответ:

2x³-14x² - 6x

Объяснение:

2x(x²-7x-3)

2x × x² - 2x + 7x - 2x × 3

Вас заинтересует