• Предмет: Математика
  • Автор: Аноним
  • Вопрос задан 3 года назад

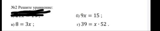
Как решить? Весь номер

Приложения:

sidorovpetya2012: Что замазано
Аноним: это я решил просто
Аноним: Надо вообще пункт в) и г)

Ответы

Ответ дал: solnsevvb10
0

8=3х

3х=8

х=8:3

х=8/3

9х=15

х=15:9

х=15/9=5/3

39=х*52

39=52х

52х=39

х=39:52

х=0.75

Вас заинтересует