• Предмет: Алгебра
  • Автор: MariaRaider24
  • Вопрос задан 3 года назад

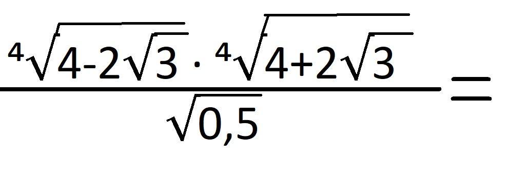
Вычислите ⁴√4-2√3 · ⁴√4+2√3 / √0,5=

Приложения:

Ответы

Ответ дал: karunos07
0
вот держи,если что-то не понятно пиши
Приложения:
Вас заинтересует