• Предмет: Алгебра
  • Автор: goldgangplay2020
  • Вопрос задан 3 года назад

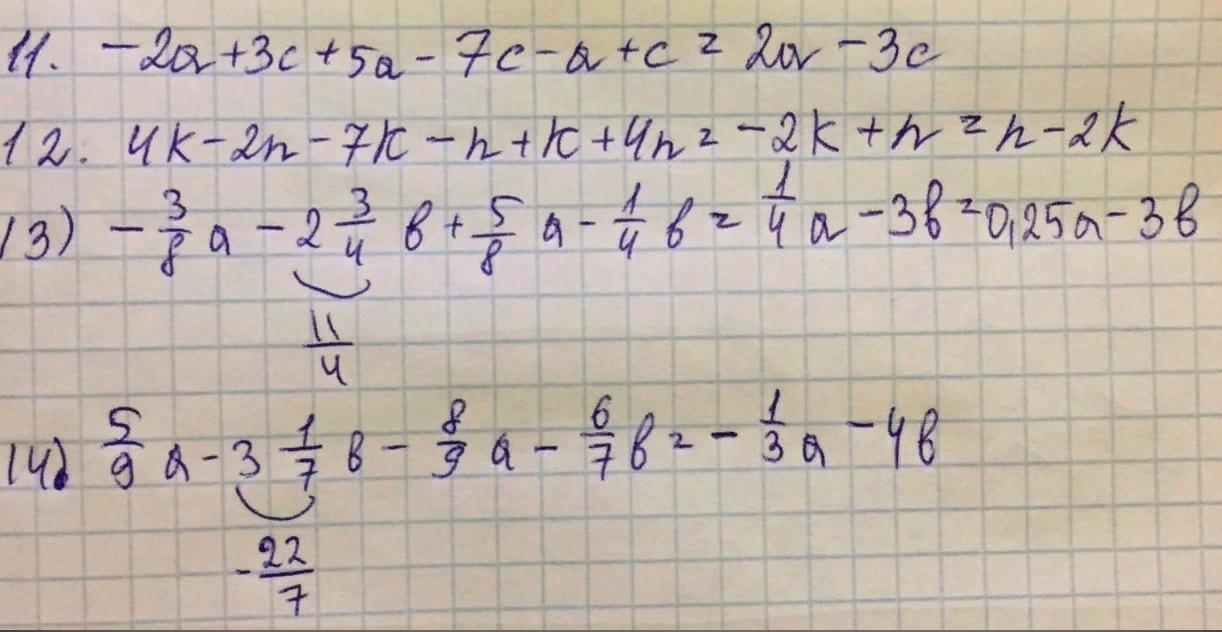
помогите пожалуйста! нужно решить все верно со всеми действиями

Приложения:

Ответы

Ответ дал: papinamama228
0

Ответ:

такие примеры лучше решать в приложении photomatch

В 10 ОШИБКА, ФОТО ПРИКРЕПЛЮ

Приложения:

oieu2350: в 13 и 14 нужно сократить 2/8 и 3/9 иначе могут засчитать как неполное действие
oieu2350: В 10- 0,25, а не 0,025
papinamama228: в 10 у меня все правильно)
papinamama228: а хотя
Ответ дал: oieu2350
1

Ответ:

Объяснение:

Подробно в файле, удачи

Приложения:

goldgangplay2020: огрооомное спасибо
oieu2350: не за что =)
Вас заинтересует