• Предмет: Алгебра
  • Автор: uliana66020
  • Вопрос задан 3 года назад

Складіть квадратне рівняння коренями якого є 4 і - 5

Ответы

Ответ дал: dtnth
0

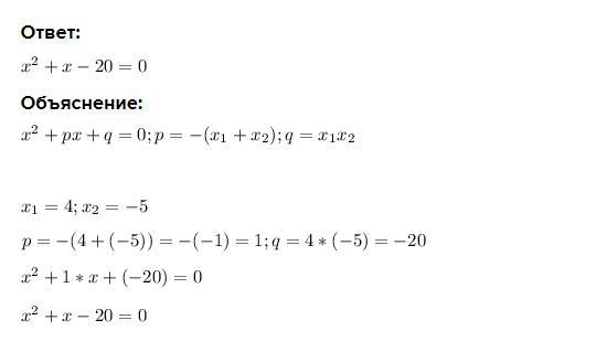
Ответ:

x^2+x-20=0

Объяснение:

x^2+px+q=0;p=-(x_1+x_2);q=x_1x_2

x_1=4;x_2=-5

p=-(4+(-5))=-(-1)=1;q=4*(-5)=-20

x^2+1*x+(-20)=0

x^2+x-20=0

Приложения:
Вас заинтересует