• Предмет: Математика
  • Автор: artemkaboom2
  • Вопрос задан 3 года назад

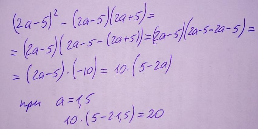
Найдите значение выражения (2a-5)^2-(2a-5)(2a+5) при a=1,5

Ответы

Ответ дал: vlad123addd
1

Ответ:

20

Пошаговое объяснение:

Приложения:
Вас заинтересует