• Предмет: Алгебра
  • Автор: alenavilda95
  • Вопрос задан 3 года назад

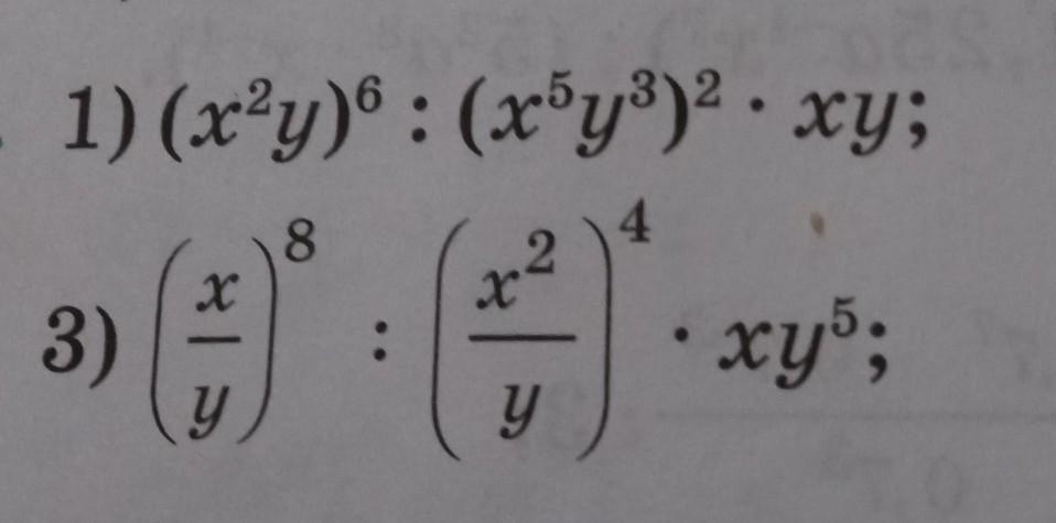
помогите решить примеры плиз​

Приложения:

Ответы

Ответ дал: Dimasik106
0

Ответ прост.

Объяснение тут как тут:

1) \frac{(x^2y)^6}{(x^5y^3)^2}xy=\frac{x^{13}y^7}{x^{10}y^6}=x^3y\\  \\3) \frac{x^8*y^{-8}*x^1y^5}{x^8*y^{-4}} =\frac{x^9*y^{-3}}{x^8*y{-4}}=xy


alenavilda95: спасибочки
Вас заинтересует