• Предмет: Математика
  • Автор: Dmipasik
  • Вопрос задан 11 лет назад

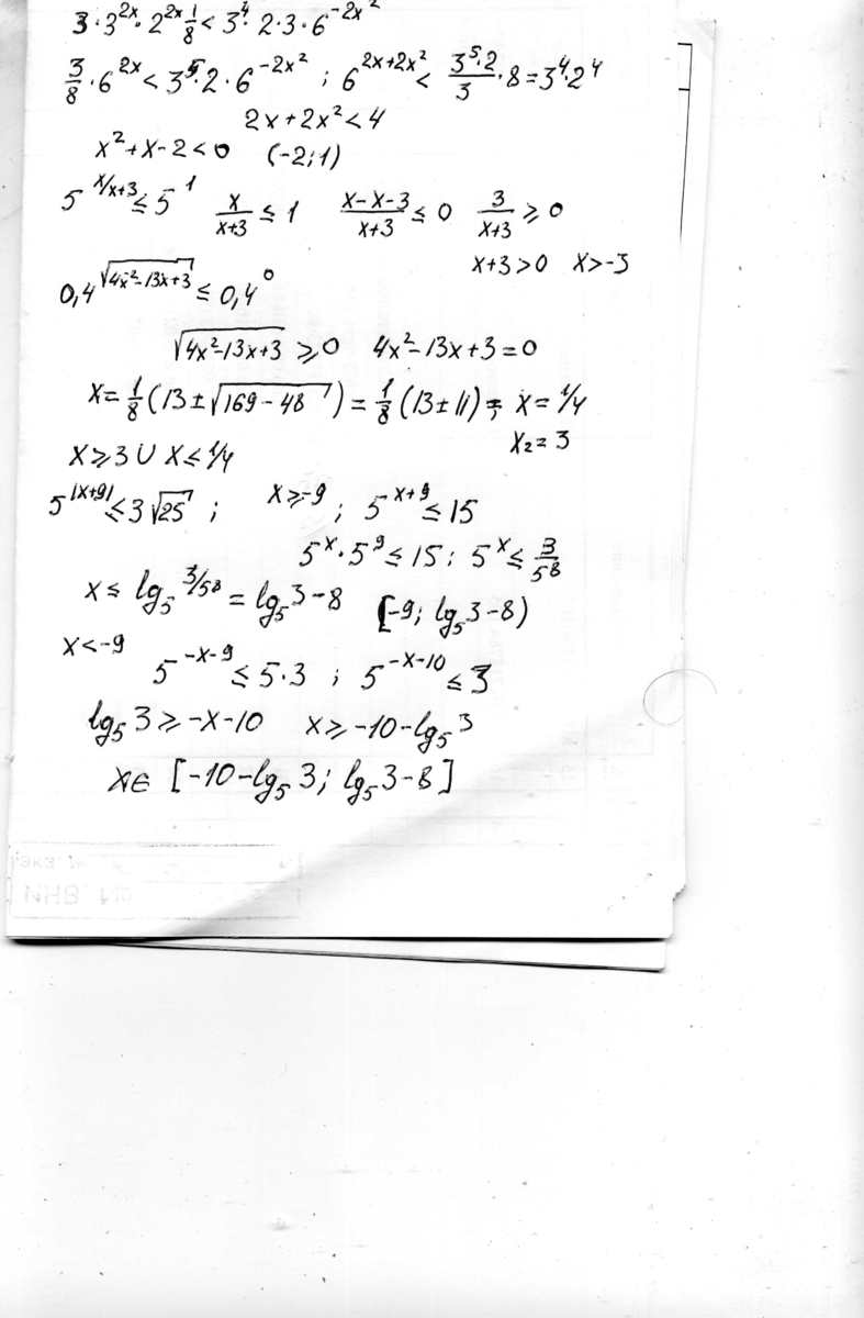
Решите неравенства:
1. 3^(2x+1)*2^(2x-3)<81*6^(1-2x^2)
2. 5^(x/x+3) <= 5
3. 0,4^(корень из 4x^2-13x+3) <= 1
4. 5^(|x+9|) <= 3 корня из 25

Ответы

Ответ дал: rskopov
0
                                      Решение:

Смотри вложение:...



Приложения:
Вас заинтересует