• Предмет: Математика
  • Автор: Аноним
  • Вопрос задан 3 года назад

Ответьте пж !!!!!!!!!!!!!!!!!!!!!!!!!!!!!!!!!!!!!!!!!!!!!!!!!!!!!

Приложения:

Ответы

Ответ дал: dfg019
1

Ответ:

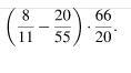
(8/11 - 20/55) * 66/20 = 4/11 * 66/20 = 6/5 = 1,2

Вас заинтересует