• Предмет: Математика
  • Автор: Bekzatin
  • Вопрос задан 3 года назад

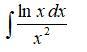
помогите найти неопределенный интеграл

Приложения:

Ответы

Ответ дал: bibaboba22813371488
1

Ответ:

1978

Пошаговое объяснение:

Вас заинтересует