• Предмет: Алгебра
  • Автор: kanekiken1op
  • Вопрос задан 3 года назад

упростите выражения пожалуйста даю 25 баллов​

Приложения:

Ответы

Ответ дал: NNNLLL54
0

Ответ:

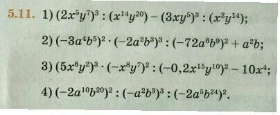
1)\ \ (2x^5y^7)^3:(x^{14}y^{20})-(3xy^5)^3:(x^2y^{14})=\dfrac{(2x^5y^7)^3}{x^{14}y^{20}}-\dfrac{(3xy^5)^3}{x^2y^{14}}=\\\\\\=\dfrac{8x^{15}y^{21}}{x^{14}y^{20}}-\dfrac{27x^3y^{15}}{x^2y^{14}}=\dfrac{8xy}{1}-\dfrac{27xy}{1}=8xy-27xy}=-19xy

2)\ \ (-3a^4b^5)^2\cdot (-2a^2b^3)^3:(-72a^6b^9)^2+a^2b=\dfrac{9a^8b^{10}\, \cdot \, (-8)a^6b^9}{72^2a^{12}b^{18}}+a^2b=\\\\\\=\dfrac{-72\, a^{14}\, b^{19}}{72^2\, a^{12}\, b^{18}}+a^2b=\dfrac{-a^2b}{72}+a^2b=\dfrac{72a^2b-a^2b}{72}=\dfrac{71a^2b}{72}

3)\ \ (5x^6y^2)^3\cdot (-x^8y^7)^2\, :\, (-0,2x^{15}y^{10})^2-10x^4=\dfrac{125\, x^{18}\, y^6\cdot x^{16\, y^{14}}}{0,04\, x^{30}y^{20}}-10x^4=\\\\\\=\dfrac{3125\, x^{34}\, y^{20}}{x^{30}\, y^{20}}-10x^4=\dfrac{3125\, x^4}{1}-10x^4=3125x^4-10x^4=3115x^4

4)\ \ (-2a^{10}b^{20})^2:(-a^2b^3)^3:(-2a^5b^{24})^2=\dfrac{4\, a^{20}\, b^{40}}{-a^6\, b^9\, \cdot \, 4\, a^{10}\, b^{48}}=-\dfrac{a^{20}\, b^{40}}{a^{16}\, b^{57}}=-\dfrac{a^4}{b^{17}}


smorodinkalolp0t266: В первом выражении стоит знак минус, а не разделить
Вас заинтересует