• Предмет: Математика
  • Автор: petrenkodiana702
  • Вопрос задан 3 года назад

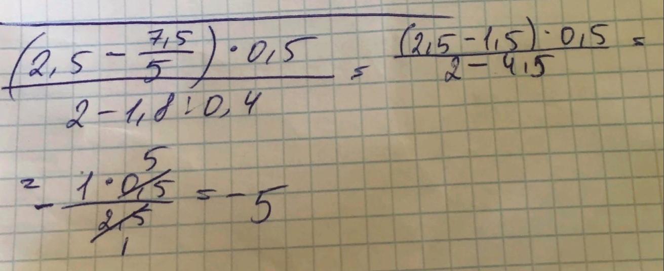
помогите пожалуйста ​

Приложения:

Ответы

Ответ дал: art16shubin
0

...............................

Ответ дал: oieu2350
0

Ответ:

Пошаговое объяснение:

Подробно в файле, удачи

Приложения:
Вас заинтересует