• Предмет: Алгебра
  • Автор: Lukashan10
  • Вопрос задан 3 года назад

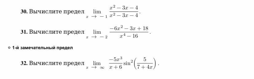
Решить эти 3 задания, пожалуйста срочно

Приложения:

Ответы

Ответ дал: yooginkim1902
1
к сожалению, не знаю как желать последнее
Приложения:
Вас заинтересует