• Предмет: Математика
  • Автор: anna89040614858
  • Вопрос задан 3 года назад

Срочно!
Диференцированные зачет идет, помогите пожалуйста
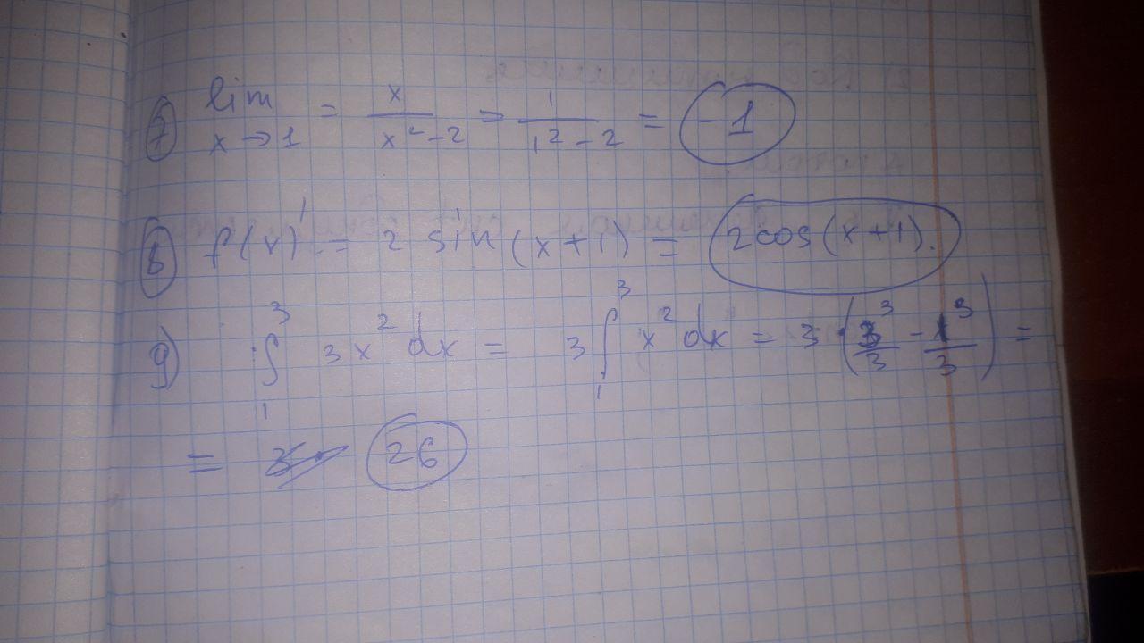
С 7 по 9 задание
Очень прошу

Приложения:

Ответы

Ответ дал: denmv
0

Ответ:

Пошаговое объяснение:

Приложения:
Вас заинтересует