Ответы
Ответ дал:
1
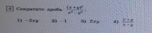
Ответ: 4)
Объяснение: на фото
Приложения:

Ответ дал:
0
Ответ:
Объяснение:
на фото
Приложения:

Вас заинтересует
2 года назад
7 лет назад
7 лет назад
9 лет назад