• Предмет: Алгебра
  • Автор: otradnovsana08
  • Вопрос задан 3 года назад

ПОМОГИТЕ ПОЖАЛУЙСТА БЫСТРО НАДО!!!!!!!

Приложения:

juriy22111992: сейчас сделаю
otradnovsana08: спасибо большое

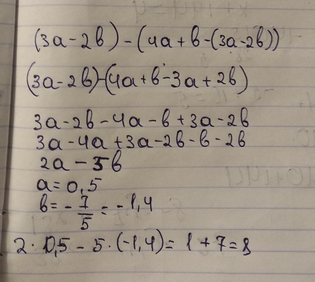
Ответы

Ответ дал: alyyva
0

надеюсь понятно,удачи :)

Приложения:
Вас заинтересует