• Предмет: Алгебра
  • Автор: mariach21
  • Вопрос задан 3 года назад

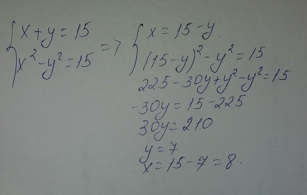
сумма двух чисел 15,но разность квадрантов 15.Вычисли эти два числа

Ответы

Ответ дал: kfdm
0

Ответ:

вот ответ

Объяснение:

Приложения:
Вас заинтересует