Ответы
Ответ дал:
0
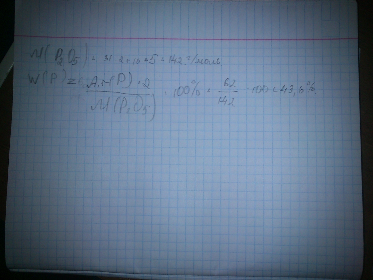
М(Р2О5) = 2А(Р) + 5А(О) = 2·31 + 5·16 = 142 г/моль.
Вычисляем массовую долю фосфора в данном оксиде:
ω(Р) = 2А(Р)/М(Р2О5) = 2·31/142 = 0,437 или 43,7%.
Ответ: ω(Р) = 43,7%.
Вычисляем массовую долю фосфора в данном оксиде:
ω(Р) = 2А(Р)/М(Р2О5) = 2·31/142 = 0,437 или 43,7%.
Ответ: ω(Р) = 43,7%.
Ответ дал:
0
Вроде бы всё так.)))) )
Приложения:
Вас заинтересует
3 года назад
3 года назад
8 лет назад
8 лет назад
11 лет назад
11 лет назад