• Предмет: Алгебра
  • Автор: annz60
  • Вопрос задан 3 года назад

помогитееее аааааааааа​

Приложения:

Ответы

Ответ дал: mrsdashada
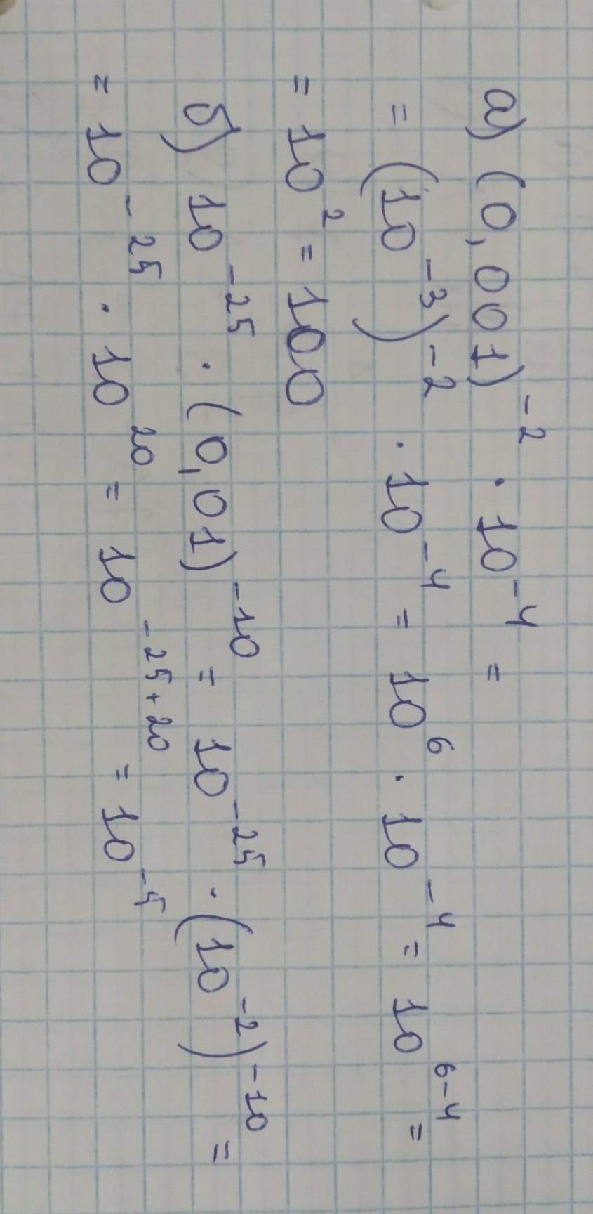
1

Объяснение:

представляешь все числа как 10 в некоторой степени и далее умножаешь числа

Приложения:
Вас заинтересует